Introduction of virtual grounding and virtual short circuit in operational amplifier
Time:2022-08-28
Views:1828
Author: rajeswari
Operational amplifier is the main force of analog electronic design. Since ancient times, these humble devices have been used for everything from simple voltage followers to complex inverter designs. In circuitdigest, we have discussed various operational amplifier circuits and their applications. Today, we will study another interesting concept related to operational amplifiers, called virtual ground and virtual short circuit. Well, let‘s take a closer look.
What is virtual ground and virtual short circuit?
Before going into details, let‘s take a look at the numbers given below. In figure (a), VA = voltage at VB, because there is a short circuit between VA and VB. In figure (b), there is no connection (short circuit) between VA and VB. However, the voltage at VB = VA is still not connected to any other source, which means that there should be a virtual connection between VA and VB, or VB is equal to VA due to some other virtual effect. This is an effect commonly known as "virtual short circuit".

Similarly, in figure (c), even though VA is connected to a 5V source, due to some effects, if VA = VB = 0V (gnd_potential) means that this effect will be called "virtual grounding".
The details mentioned above may seem magical or impractical. However, the basic operational amplifier operation follows the above two concepts, and understanding the reasons behind them will help to understand the complete operational amplifier physics.
Basic operational amplifier operating rules:
The working mechanism of the basic operational amplifier mainly follows the following two important rules:
The voltage at the non inverting input and the inverting input of the operational amplifier should always be equal. The internal operational amplifier design and output feedback resistance always tend to make them equal to maintain stable operational amplifier operation.
According to the characteristics of the operational amplifier, the operational amplifier has a high input impedance and a low output impedance. Therefore, for ideal operational amplifier operation, the current flowing through the input terminal of the operational amplifier is assumed to be & # x201c.
Virtual short circuit in operational amplifier
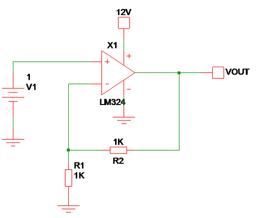
The following circuit is a well-known non inverting operational amplifier topology with a 1V input and a gain resistance of R1 = R2 = 1K Ω. It has some defined equations to find the relationship between input and output voltage. Instead of using those defined formulas, we can apply the basic operational amplifier rules to find the output voltage.

According to rule - 1, the inverting input (-) voltage shall be equal to the in-phase (+) input voltage, V for a given circuit_ Non_ InverTIng = 1V。 Like the in-phase (+) pin, the inverting pin (-) is not connected to any special voltage source, and only the operational amplifier Vout can make the voltage of the inverting (-) terminal 1V.
Therefore, once the operational amplifier is "powered on", the internal parameters of the operational amplifier operate to make the inverting input voltage equal to 1V, and according to the rule, no current flows through the inverting pin. Since R1 and R2 become voltage dividers with Vout as the source voltage, the output of the voltage divider should be equal to the input voltage in phase.
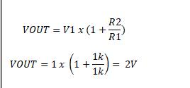
The output voltage changes from its previous state to a higher or lower voltage level so that V (+) = V (-). Here, since R1 = R2 and both constitute a voltage divider combination, and Vout = 2V makes (V +) = V (-).
Based on the following in-phase operational amplifier gain equation:

Therefore, for an in-phase operational amplifier, the inverted pin voltage is equal to the in-phase voltage, and there is no direct short circuit between the two terminals, and the equal voltage on the two terminals occurs through virtual concept. This effect is called "virtual short circuit" operational amplifier.
The concept of virtual grounding in operational amplifier
By applying rules 1 and 2 in the following inverting operational amplifier configuration, the voltage at the inverting pin should be zero. However, the inverting pin (-) is connected to the 5V power supply through R1. According to rule 2, no current flows through the inverting (-) input, and all current flows through R1 and R2. In order for V (-) = 0, Vout must provide a compensation voltage.
In a given circuit, positive 5V is supplied to the inverting terminal through a 1K resistor. In order to make the inverting terminal voltage = 0, Vout should be - 5V (since R2 = 1K). If the value of R2 is modified, the internal structure of the operational amplifier should also modify Vout so that V (in -) = 0.
For inverting op amp configuration = 《 V1 / R1 = - Vout / r2 》

In this inverting input configuration, the inverting input is always mentioned at "ground potential" (due to the non inverting input ground potential), which is not directly connected to ground due to the internal function of the operational amplifier. Even if the inverting input is powered by a 5V power supply, the inverting terminal voltage is equal to "GND", which is the reason why it is called "virtual ground" or "virtual ground".
Importance of virtual grounding and virtual short circuit in operational amplifier
Virtual ground and virtual short circuit are two important parameters for checking any operational amplifier circuit. Most operational amplifier circuit derivation and transfer functions are based on these two concepts, and make the circuit analysis easier without considering the input parameters of the operational amplifier.
The concept of virtual ground and virtual short circuit applies only to "closed loop" operational amplifier circuits. In open-loop or operational amplifiers used as comparators, there is no feedback mechanism to control the matching between the inverting and non inverting input voltages. Therefore, the operational amplifier always operates in saturation mode and virtual ground, and the virtual short concept does not work. Under these types of conditions, the designer should look at the "differential input" voltage limits to avoid operational amplifier failure.
Under some closed-loop conditions, when the output matching limit exceeds the power supply range of the operational amplifier VCC and Vee, the virtual ground and virtual short circuit concepts will also fail.
Examples of virtual ground and virtual short circuit cavity conditions


|
Disclaimer: This article is transferred from other platforms and does not represent the views and positions of this site. If there is infringement or objection, please contact us to del |










